紧接着上篇 二叉树的 javascript 实现 ,来说一下二叉树的遍历。
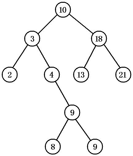
以以下这个二叉树为例子进行遍历:

接着是要引入二叉树实现的代码:
1 2 3 4 5 6 7 8 9 10 11 12 13 14 15 16 17 18 19 20 21 22 23 24 25 26 27 28 29 30 31 32 33 34 35 36 37 38 39 40 41
| function Node(data, left, right) { this.data = data; this.left = left; this.right = right; this.show = show; } function show() { return this.data; }
function BST() { this.root = null; this.insert = insert; } function insert(data) { var n = new Node(data, null, null); if (this.root == null) { this.root = n; } else { var current = this.root; var parent; while (true) { parent = current; if (data < current.data) { current = current.left; if (current == null) { parent.left = n; break; } } else { current = current.right; if (current == null) { parent.right = n; break; } } } } }
|
二叉树遍历的分类
二叉树的遍历分为先序、中序、后序遍历。这里说到的先序、中序、后序是相对于父节点来说。父节点的值先输出就是先序,三者间它在中间输出就是中序,最后输出就是后序。至于那个是父节点是相对而言的,因为除了叶子节点(最底下一层节点),其他每个节点都可以是父节点。

先序遍历
先序遍历就是,先打印父节点,然后是左子节点(左子树),然后再打印右子节点(子树)。
1 2 3 4 5 6 7 8 9 10 11 12 13 14
| function preOrder(node) { if (!(node == null)) { console.log(node.show() + " "); preOrder(node.left); preOrder(node.right); } }
function BST() { this.root = null; this.insert = insert; this.preOrder = preOrder; }
|
preOrder 函数是递归实现的,应该说二叉树的遍历都是递归实现的。可能有些人会因为先序遍历的特征:“先打印父节点,然后是左子节点(左子树),然后再打印右子节点(子树)” 而陷入一个错误的想法,这想法是什么请看下图:

注意红框部分,父节点是 10,左子节点是 3,右子节点是 18,因为上面的结论,可能会错误地认为打印的顺序是10 → 3 → 18,然而事实并非如此[捂脸],真是的顺序是:先打印 10,然后是打印左子树,打印完左子树的全部节点后,才开始打印以10位父节点的右子树:

这个时候,你的脑海就该这样想:

然后是这样想:

如此类推打印完以10为父节点的左子树,然后也是以这样的方式打印以10为父节点的右子树,按着这种 拆分代替的思想 来理解会更好明白二叉树的遍历。
然后最终,先序遍历改二叉树的顺序是:

按图的输出顺序是:10 -> 3 -> 2 -> 4 -> 9 -> 8 -> 9 -> 18 -> 13 -> 21
最后来实践一下,先序遍历:
1 2 3 4 5 6
| var bst = new BST(); var nums = [10, 3, 18, 2, 4, 13, 21, 9, 8, 9]; for(var i = 0; i < nums.length; i++) { bst.insert(nums[i]); } bst.preOrder(bst.root);
|

这里强调一下,输出顺序和插入顺序有关的,因为你插入顺序不同生成的二叉树也是不同的。有疑问的可以去 二叉树的javascript实现 细看一下,有比较明白的说明了二叉树,也可以实验一下:

中序遍历
看完先序遍历,已经可以类推到很多和中序、后序遍历相关的知识点。中序遍历的特征是:先打印左子树(左子节点),接着打印父节点,最后打印右子树(右子节点)。
1 2 3 4 5 6 7 8 9 10 11 12 13 14 15
| function inOrder(node) { if (!(node == null)) { inOrder(node.left); console.log(node.show() + " "); inOrder(node.right); } }
function BST() { this.root = null; this.insert = insert; this.preOrder = preOrder; this.inOrder = inOrder; }
|
中序遍历的打印顺序:

按上图的输出顺序是:2 -> 3 -> 4 -> 8 -> 9 -> 9 -> 10 -> 13 -> 18 -> 21
接着是,实践一下中序遍历:

后序遍历
1 2 3 4 5 6 7 8 9 10 11 12 13 14 15 16
| function postOrder(node) { if (!(node == null)) { postOrder(node.left); postOrder(node.right); console.log(node.show() + " "); } }
function BST() { this.root = null; this.insert = insert; this.preOrder = preOrder; this.inOrder = inOrder; this.postOrder = postOrder; }
|
后序遍历的打印顺序

按上图的输出顺序是:2 -> 8 -> 9 -> 9 -> 4 -> 3 -> 13 -> 21 -> 18 -> 10
